某单位购买一批树苗,计划在一段路两旁植树。若每隔5米种1棵树,则可以覆盖整个路段,但这批树苗剩20棵;若每隔4米种1棵树且路尾最后两棵树之间的距离为3米,...

作者: tihaiku 人气: - 评论: 0
问题 某单位购买一批树苗,计划在一段路两旁植树。若每隔5米种1棵树,则可以覆盖整个路段,但这批树苗剩20棵;若每隔4米种1棵树且路尾最后两棵树之间的距离为3米,则这批树苗刚好可覆盖整个路段,这段路长为( )。
选项 A. 395 米 B. 205 米 C. 375 米 D. 195 米
答案 D
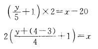
解析 设共有树苗x棵,一段路长为y,则可以列如下方程: 解得x=100,y=195,答案选D。

相关内容:单位,树苗,计划,一段路,两旁,植树,5米种,1棵树,路段,4米种,且路,距离

猜你喜欢

发表评论
更多 网友评论0 条评论)
暂无评论

Copyright © 2012-2014 恰考网 Inc. 保留所有权利。 Powered by tikuer.com

页面耗时0.0347秒, 内存占用1.05 MB, Cache:redis,访问数据库20次