一段路程分为上坡、平路、下坡三段,路程长之比依次是1 : 2 : 3。小龙走各段路程所用时 间之比依次是4:5:6。已知他上坡时速度为每小时3千米,路程全...

作者: tihaiku 人气: - 评论: 0
问题 一段路程分为上坡、平路、下坡三段,路程长之比依次是1 : 2 : 3。小龙走各段路程所用时 间之比依次是4:5:6。已知他上坡时速度为每小时3千米,路程全长是50千米,小龙走 完全程用多少小时?( ) A. 10 5/12 B. 12 C. 14 1/12 D. 10
选项
答案 A
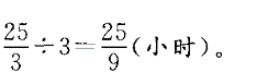
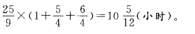
解析 上坡路程为 上坡所用时间为: 小龙走完全程用的时间为:故本题选A。

相关内容:路程,平路,下坡,小龙,用时,速度,3千米

猜你喜欢

发表评论
更多 网友评论0 条评论)
暂无评论

Copyright © 2012-2014 恰考网 Inc. 保留所有权利。 Powered by tikuer.com

页面耗时0.0318秒, 内存占用1.05 MB, Cache:redis,访问数据库19次