10个箱子总重100公斤,且重量排在前三位的箱子总重不超过重量排在后三位的箱子总重的1.5倍。问最重的箱子重量最多是多少公斤?( )

作者: tihaiku 人气: - 评论: 0
问题 10个箱子总重100公斤,且重量排在前三位的箱子总重不超过重量排在后三位的箱子总重的1.5倍。问最重的箱子重量最多是多少公斤?( )
选项
答案 B
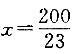
解析 要使最重的箱子重量尽可能大,则其余箱子重量尽可能小,这时可以考虑最极端的情况,即后9个箱子都相等。因此可设排在后9位的箱子的重量均为x公斤,故排在第一位的箱子的重量为1. 5xX3-2x = 2. 5x。可列方程:9x+ 2.5x=100,解得,则最重的箱子重

猜你喜欢

发表评论
更多 网友评论0 条评论)
暂无评论

Copyright © 2012-2014 恰考网 Inc. 保留所有权利。 Powered by tikuer.com

页面耗时0.0387秒, 内存占用1.03 MB, Cache:redis,访问数据库20次