圆柱底面周长为9. 42厘米,斜着截去一段后,剩余体积是()立方厘米。(π取3.14) A.12.5 B.15.725 C.35.325 D.63.15

作者: tihaiku 人气: - 评论: 0
问题 圆柱底面周长为9. 42厘米,斜着截去一段后,剩余体积是()立方厘米。(π取3.14) A.12.5 B.15.725 C.35.325 D.63.15
选项
答案 C
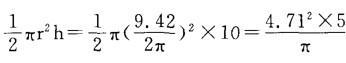
解析 如图,把柱体分为两部分,下部是底面周长为9.42厘米、高4厘米的圆柱体,上面是底面周长为9.42厘米、高(6—4)厘米的圓柱体体积的一半。也可以看作底面周长9.42厘米、高(6+4)厘米的圓柱体体积的一半。故体积为 ≈35.325(cm3)。

猜你喜欢

发表评论
更多 网友评论0 条评论)
暂无评论

Copyright © 2012-2014 恰考网 Inc. 保留所有权利。 Powered by tikuer.com

页面耗时0.0386秒, 内存占用1.03 MB, Cache:redis,访问数据库16次