某项射击资格赛后的统计表明,某国四名运动员中,三名运动员的平均环数加上另一运动员的环数,计算后得到的环数分别为92、114、138、160,则此国四名运动...

作者: tihaiku 人气: - 评论: 0
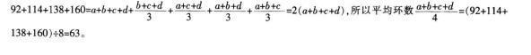
问题 某项射击资格赛后的统计表明,某国四名运动员中,三名运动员的平均环数加上另一运动员的环数,计算后得到的环数分别为92、114、138、160,则此国四名运动员资格赛的平均环数是(  )环。
选项 A.63 B.126 C.168 D.252
答案 A
解析 设4人的成绩分别为a.b、c、d,由“三名运动员的平均环数加上另一运动员的环数”知。

相关内容:射击,资格赛,统计,四名,运动员,三名,环数,此国,运动

猜你喜欢

发表评论
更多 网友评论0 条评论)
暂无评论

Copyright © 2012-2014 恰考网 Inc. 保留所有权利。 Powered by tikuer.com

页面耗时0.0331秒, 内存占用1.04 MB, Cache:redis,访问数据库18次