今年某高校数学系毕业生为60名,其中70%是男生,男生中有 选择继续攻读硕士学位。女生选择攻读硕士学位的人数比例是男生选择攻读硕士学位人数比例的一半。那么...

作者: tihaiku 人气: - 评论: 0
问题 今年某高校数学系毕业生为60名,其中70%是男生,男生中有 选择继续攻读硕士学位。女生选择攻读硕士学位的人数比例是男生选择攻读硕士学位人数比例的一半。那么该系选择攻读硕士学位的毕业生共有( )。
选项 A.15位 B.19位 C.17位 D.21位
答案 C
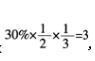
解析 男生选择攻读硕士的有60x70%x_1=14人,女生选择攻读硕士的有60x 共计14+3=17人。

相关内容:今年,高校,数学系,生为,男生,硕士学位,女生,人数,比例

猜你喜欢

发表评论
更多 网友评论0 条评论)
暂无评论

Copyright © 2012-2014 恰考网 Inc. 保留所有权利。 Powered by tikuer.com

页面耗时0.0364秒, 内存占用1.05 MB, Cache:redis,访问数据库19次