把棱长为4的正方体分割成24个棱长为整数的正方体(且没有剩余),其中棱长为1的正 方体的个数为()。 A. 12 B. 15 C. 18 D. 21

作者: tihaiku 人气: - 评论: 0
问题 把棱长为4的正方体分割成24个棱长为整数的正方体(且没有剩余),其中棱长为1的正 方体的个数为()。 A. 12 B. 15 C. 18 D. 21
选项
答案 D
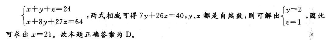
解析 设分割后棱长为1、2、3 .的正方体分别有x,y,z个,则有

相关内容:正方体,整数,剩余,的正,方体,个数

猜你喜欢

发表评论
更多 网友评论0 条评论)
暂无评论

访问排行

Copyright © 2012-2014 恰考网 Inc. 保留所有权利。 Powered by tikuer.com

页面耗时0.0299秒, 内存占用1.05 MB, Cache:redis,访问数据库19次