一个四位数为完全平方数,其中个俾数与十位数相同,百位和千位4:的数字相同,则这个数的各位数上的数字之和为( )。 A. 22 B. 20 C. 18 D...

作者: tihaiku 人气: - 评论: 0
问题 一个四位数为完全平方数,其中个俾数与十位数相同,百位和千位4:的数字相同,则这个数的各位数上的数字之和为( )。 A. 22 B. 20 C. 18 D. 16
选项
答案 A
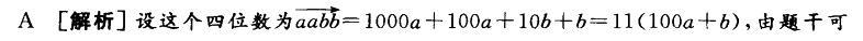
解析

相关内容:四位数,个俾,十位数,百位,数字,个数,位数,之和

猜你喜欢

发表评论
更多 网友评论0 条评论)
暂无评论

访问排行

Copyright © 2012-2014 恰考网 Inc. 保留所有权利。 Powered by tikuer.com

页面耗时0.0353秒, 内存占用1.05 MB, Cache:redis,访问数据库18次