有两种溶液,甲溶液中蛋清的浓度为20%,蜂蜜的浓度为15%,乙溶液中蛋清的浓度为50%,蜂蜜的浓度为20%,现在有甲溶液2千克,要将一定量的乙溶液与甲溶液...

作者: tihaiku 人气: - 评论: 0
问题 有两种溶液,甲溶液中蛋清的浓度为20%,蜂蜜的浓度为15%,乙溶液中蛋清的浓度为50%,蜂蜜的浓度为20%,现在有甲溶液2千克,要将一定量的乙溶液与甲溶液混合,混合后所得溶液的蛋清浓度是蜂蜜浓度的2倍,问需要多少千克的乙溶液?( ) A. 2 B. 1.5 C. 1 D. 0.5
选项
答案 A
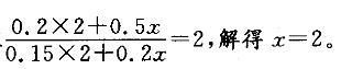
解析 设需要x千克的乙溶液,根据题意列方程 故本題选A。

猜你喜欢

发表评论
更多 网友评论0 条评论)
暂无评论

访问排行

Copyright © 2012-2014 恰考网 Inc. 保留所有权利。 Powered by tikuer.com

页面耗时0.0350秒, 内存占用1.03 MB, Cache:redis,访问数据库19次