组成缩合鞣酸的基本单元是

作者: tihaiku 人气: - 评论: 0
问题 组成缩合鞣酸的基本单元是
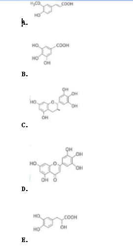
选项
答案 C
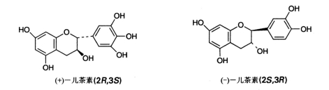
解析 缩合鞣质的化学结构复杂,目前尚未完全弄清。但普遍认为,组成缩合鞣质的基本单元是黄烷-3-醇,最常见的是儿茶素。

猜你喜欢

发表评论
更多 网友评论0 条评论)
暂无评论

Copyright © 2012-2014 恰考网 Inc. 保留所有权利。 Powered by tikuer.com

页面耗时0.0308秒, 内存占用1.03 MB, Cache:redis,访问数据库19次