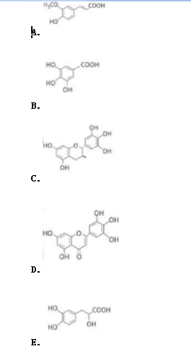
《中国药典》规定,当归含量测定的指标成分是阿魏酸,其结构是

作者: tihaiku 人气: - 评论: 0
问题 《中国药典》规定,当归含量测定的指标成分是阿魏酸,其结构是
选项
答案 A
解析

相关内容:中国药典,规定,当归,含量,指标,成分,阿魏,结构

发表评论
更多 网友评论0 条评论)
暂无评论

Copyright © 2012-2014 恰考网 Inc. 保留所有权利。 Powered by tikuer.com

页面耗时0.0322秒, 内存占用1.03 MB, Cache:redis,访问数据库14次