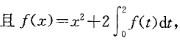
设f(x)是连续函数, 则f(x)=A. x2 B. x2-2 C 2x D. x2 -16/9

作者: rantiku 人气: - 评论: 0
问题 设f(x)是连续函数, 则f(x)= A. x2 B. x2-2 C 2x D. x2 -16/9
选项
答案 D
解析
  • 上一篇:
  • 下一篇:

猜你喜欢

发表评论
更多 网友评论0 条评论)
暂无评论

访问排行

Copyright © 2012-2014 恰考网 Inc. 保留所有权利。 Powered by tikuer.com

页面耗时0.0324秒, 内存占用1.03 MB, Cache:redis,访问数据库19次