A.必绝对收敛 B.必条件收敛C.必发散 D.可能收敛,也可能发散

作者: rantiku 人气: - 评论: 0
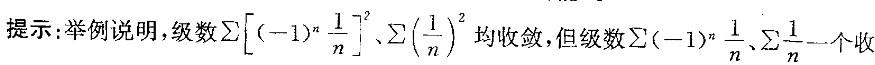
问题 A.必绝对收敛 B.必条件收敛 C.必发散 D.可能收敛,也可能发散
选项
答案 D
解析 敛,一个发散。

猜你喜欢

发表评论
更多 网友评论0 条评论)
暂无评论

访问排行

Copyright © 2012-2014 恰考网 Inc. 保留所有权利。 Powered by tikuer.com

页面耗时0.0375秒, 内存占用1.03 MB, Cache:redis,访问数据库20次