两瓶不同类的理想气体,其分子平均平动动能相等,但它们单位体积内的分子数不相同,则这两种气体的温度和压强关系为:A.温度枏同,但压强不同 B.温度不相同...

作者: rantiku 人气: - 评论: 0
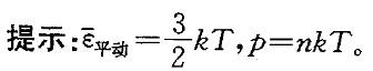
问题 两瓶不同类的理想气体,其分子平均平动动能相等,但它们单位体积内的分子数不相同,则这两种气体的温度和压强关系为: A.温度枏同,但压强不同 B.温度不相同,但压强相同 C.温度和压强都相同 D.温度和压强都不相同
选项
答案 C
解析

猜你喜欢

发表评论
更多 网友评论0 条评论)
暂无评论

访问排行

Copyright © 2012-2014 恰考网 Inc. 保留所有权利。 Powered by tikuer.com

页面耗时0.0323秒, 内存占用1.03 MB, Cache:redis,访问数据库20次