直径为d的实心圆轴受扭,若使扭转角减小一半,圆轴的直径需变为: A.d B. d C. 0.5d D.2d

作者: rantiku 人气: - 评论: 0
问题 直径为d的实心圆轴受扭,若使扭转角减小一半,圆轴的直径需变为: A.d B. d C. 0.5d D.2d
选项
答案 A
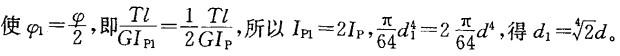
解析 提示:

猜你喜欢

发表评论
更多 网友评论0 条评论)
暂无评论

访问排行

Copyright © 2012-2014 恰考网 Inc. 保留所有权利。 Powered by tikuer.com

页面耗时0.0483秒, 内存占用1.03 MB, Cache:redis,访问数据库19次