下列各级数发散的是:

作者: rantiku 人气: - 评论: 0
问题 下列各级数发散的是:
选项
答案 A
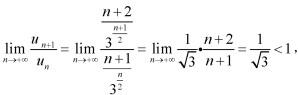
解析 选项(B),(D)为交错级数,由莱布尼茨判别法,收敛。 选项(C),由正项级数的比值审敛法, 则收敛。

猜你喜欢

发表评论
更多 网友评论0 条评论)
暂无评论

访问排行

Copyright © 2012-2014 恰考网 Inc. 保留所有权利。 Powered by tikuer.com

页面耗时0.0235秒, 内存占用1.03 MB, Cache:redis,访问数据库18次