离散型随机变量X的分布为为P(X=k)=,(k=0,1,2...),则不成立的是:(A) c>0(B)0<λ<1 (C)c=1-λ (D)

作者: rantiku 人气: - 评论: 0
问题 离散型随机变量X的分布为为P(X=k)=,(k=0,1,2...),则不成立的是: (A) c>0(B)0<λ<1 (C)c=1-λ (D)
选项
答案 D
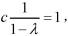
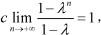
解析 因为概率总非负,所以cλk≥0 ,所以c≥0,但是如果c = 0,则 P(X = 0) + P(X = 1) + P(X = 2) +.. = 0 ≠ 1,显然不对,因此c ≠ 0,得c > 0。 P( X = 0) + P( X = 1) + P( X = 2) +.. = c(1 + λ + λ2 +..)=则0<λ<1,上式变为得c=1-λ,所以选项(B)、(C)正确,(D)错误。 点评:

猜你喜欢

发表评论
更多 网友评论0 条评论)
暂无评论

访问排行

Copyright © 2012-2014 恰考网 Inc. 保留所有权利。 Powered by tikuer.com

页面耗时0.0521秒, 内存占用1.03 MB, Cache:redis,访问数据库19次