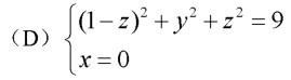
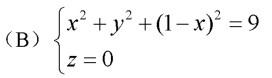
球面x2 + y2 + z2 = 9与平面x + z = 1的交线在xoy坐标面上投影的方程是: (A) x2 + y2 + (1-x)2 = 9...

作者: rantiku 人气: - 评论: 0
问题 球面x2 + y2 + z2 = 9与平面x + z = 1的交线在xoy坐标面上投影的方程是: (A) x2 + y2 + (1-x)2 = 9 (C) (1-z)2 + y2 + z2 = 9
选项
答案 B
解析 此题比较简单,注意不要错选(A)。

猜你喜欢

发表评论
更多 网友评论0 条评论)
暂无评论

访问排行

Copyright © 2012-2014 恰考网 Inc. 保留所有权利。 Powered by tikuer.com

页面耗时0.0351秒, 内存占用1.03 MB, Cache:redis,访问数据库19次