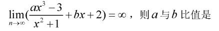
(A) b≠0, a为任意实数 (B) a≠0, b = 0(C) a = 1, b = 0 (D) a = 0, b = 0

作者: rantiku 人气: - 评论: 0
问题 (A) b≠0, a为任意实数 (B) a≠0, b = 0 (C) a = 1, b = 0 (D) a = 0, b = 0
选项
答案 A
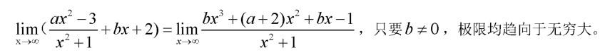
解析

猜你喜欢

发表评论
更多 网友评论0 条评论)
暂无评论

访问排行

Copyright © 2012-2014 恰考网 Inc. 保留所有权利。 Powered by tikuer.com

页面耗时0.0510秒, 内存占用1.01 MB, Cache:redis,访问数据库20次