微分方程(1 + y)dx -(1-x)dy = 0的通解是:

作者: rantiku 人气: - 评论: 0
问题 微分方程(1 + y)dx -(1-x)dy = 0的通解是:
选项
答案 C
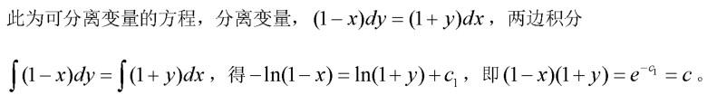
解析
  • 上一篇:
  • 下一篇:

猜你喜欢

发表评论
更多 网友评论0 条评论)
暂无评论

访问排行

Copyright © 2012-2014 恰考网 Inc. 保留所有权利。 Powered by tikuer.com

页面耗时0.0446秒, 内存占用1.03 MB, Cache:redis,访问数据库20次