某柱下六桩独立桩基,承台埋深3.0m,承台面积取2.4m×4.0m,采用直径0.4m的灌注桩,桩长12m,距径比sa/d=4,桩顶以下土层参数如表4-1所...

作者: rantiku 人气: - 评论: 0
问题 某柱下六桩独立桩基,承台埋深3.0m,承台面积取2.4m×4.0m,采用直径0.4m的灌注桩,桩长12m,距径比sa/d=4,桩顶以下土层参数如表4-1所示。根据《建筑桩基技术规范》(JG J94-2008),考虑承台效应(取承台效应系数ηc=0. 14),试确定考虑地震作用时的复合基桩竖向承载力特征值与单桩承载力特征值之比最接近于下列哪个选项的数值?(取地基抗震承载力调整系数ξa=1.5)( ) A. 1.05 B. 1.11 C. 1. 16 D. 1.20
选项
答案 B
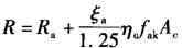
解析 根据《建筑桩基技术规范》(JGJ 94—2008)第5. 2. 5条,考虑地震作用时,复合基桩竖向承载力特征值:

猜你喜欢

发表评论
更多 网友评论0 条评论)
暂无评论

访问排行

Copyright © 2012-2014 恰考网 Inc. 保留所有权利。 Powered by tikuer.com

页面耗时0.0544秒, 内存占用1.03 MB, Cache:redis,访问数据库18次