《建筑桩基技术规范》(JGJ 94-2008)的桩基沉降计算公式中,等效沉降系数ψe取值时, 下列说法正确的是( )。A.与土的种类有关B.与沿承...

作者: rantiku 人气: - 评论: 0
问题 《建筑桩基技术规范》(JGJ 94-2008)的桩基沉降计算公式中,等效沉降系数ψe取值时, 下列说法正确的是( )。 A.与土的种类有关 B.与沿承台短边(短形布桩时)布桩多少有关 C.与桩中心距大小有关 D.与承台长宽比无关
选项
答案 BC
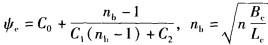
解析 根据《建筑桩基技术规范》(JGJ 94—2008)条文说明第5. 5节,桩基等效沉降系数定义为弹性半空间中刚性承台群桩基础按Mindlin解计算沉降量sM与刚性承台下等代实体基础按Boussinesq解计算沉降量sB之比,即。式中,sM根据群桩基础的不同桩距与桩径之比、桩长与桩径之比及总桩数从1~600根的不同长度比布桩方式求解而得;sB根据相应尺寸的等代实体基础按解求得。根据不同桩数计算结果,经统计给出了桩基等效沉降系数的计算公式:。式中,nb为矩形布桩时的短边布桩数;C0、C1、C2为根据群桩不同的距径比(桩中心距与桩径之比)sa/d、长径比l/d及基础长宽比Lc/Bc,查表得到;Lc、Bc、n表示矩形承台的长、宽及总桩数。

猜你喜欢

发表评论
更多 网友评论0 条评论)
暂无评论

访问排行

Copyright © 2012-2014 恰考网 Inc. 保留所有权利。 Powered by tikuer.com

页面耗时0.0403秒, 内存占用1.03 MB, Cache:redis,访问数据库19次