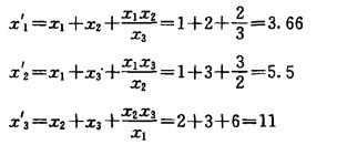
如图5-11所示网络,已知:x1=1,X2=2,x3=3。则x'1、x'2、x'3分别为()。A.3.66,5.5,11;B.5.5,3.6...

作者: rantiku 人气: - 评论: 0
问题 如图5-11所示网络,已知:x1=1,X2=2,x3=3。则x'1、x'2、x'3分别为()。
选项 A.3.66,5.5,11; B.5.5,3.66,11; C.11,3.66,5.5; D.11,3.44,5.5。
答案 A
解析 解答过程:

猜你喜欢

发表评论
更多 网友评论0 条评论)
暂无评论

访问排行

Copyright © 2012-2014 恰考网 Inc. 保留所有权利。 Powered by tikuer.com

页面耗时0.0619秒, 内存占用1.03 MB, Cache:redis,访问数据库19次