一台15MVA双绕组高压厂用变压器,短路阻抗在制造上的误差为+5%和一10%,短路阻抗电压为10.5%,取基准容量Sj=1OOMVA,已知发电机出口电压为...

作者: rantiku 人气: - 评论: 0
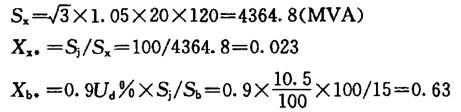
问题 一台15MVA双绕组高压厂用变压器,短路阻抗在制造上的误差为+5%和一10%,短路阻抗电压为10.5%,取基准容量Sj=1OOMVA,已知发电机出口电压为20kV,发电机出口三相短路电流周期分量的起始值为120kA,参加反馈的6kV电动机额定功率为18000kW,电动机的平均反馈电流倍数为6,髙压电动机的平均ηcosψ取0.8。 发电机出口的短路容量为()。 A.4156.9MVA;B.4572.6MVA; C.4364.8MVA; D.3949.1MV
选项 A。
答案 C
解析

猜你喜欢

发表评论
更多 网友评论0 条评论)
暂无评论

访问排行

Copyright © 2012-2014 恰考网 Inc. 保留所有权利。 Powered by tikuer.com

页面耗时0.0372秒, 内存占用1.03 MB, Cache:redis,访问数据库20次