一台15MVA双绕组高压厂用变压器,短路阻抗在制造上的误差为+5%和一10%,短路阻抗电压为10.5%,取基准容量Sj=1OOMVA,已知发电机出口电压为...

作者: rantiku 人气: - 评论: 0
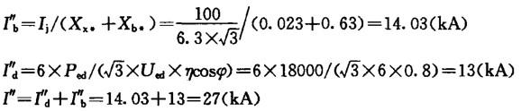
问题 一台15MVA双绕组高压厂用变压器,短路阻抗在制造上的误差为+5%和一10%,短路阻抗电压为10.5%,取基准容量Sj=1OOMVA,已知发电机出口电压为20kV,发电机出口三相短路电流周期分量的起始值为120kA,参加反馈的6kV电动机额定功率为18000kW,电动机的平均反馈电流倍数为6,髙压电动机的平均ηcosψ取0.8。 变压器电抗标么值为( )。 高压厂用母线三相短路电流周期分量的起始值为( )。 A.27kA, B.25.7kA; C.24.6kA; D.14.03k
选项 A。
答案 A
解析

猜你喜欢

发表评论
更多 网友评论0 条评论)
暂无评论
错误啦!

错误信息

  • 消息: [程序异常] : MISCONF Redis is configured to save RDB snapshots, but it's currently unable to persist to disk. Commands that may modify the data set are disabled, because this instance is configured to report errors during writes if RDB snapshotting fails (stop-writes-on-bgsave-error option). Please check the Redis logs for details about the RDB error.
  • 文件: /twcms/kongphp/cache/cache_redis.class.php
  • 位置: 第 85 行
    <?php echo 'KongPHP, Road to Jane.'; ?>