某工程单元控制室采用控制和动力直流系统分设的方式,动力采用无端电池220V直流系统’蓄电池举充电压为2.25V,,该工程直流负荷统计如下(实际容量为240...

作者: rantiku 人气: - 评论: 0
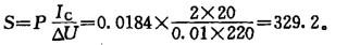
问题 某工程单元控制室采用控制和动力直流系统分设的方式,动力采用无端电池220V直流系统’蓄电池举充电压为2.25V,,该工程直流负荷统计如下(实际容量为2400Ah): (1) O~1min放电电流为767.6A; (2) 1~60min放电电流为431.5A; (3) 60~90min放电电流为417.2A; (4) 90~180min放电电流为174.2A; (5) 180~480min放电电流为116.1A。 请根据上述参数回答下列问题。 蓄电池组1h终止放电电压为1.87V,容量换算系数0.41,蓄电池组与直流屏之间的距离为20m,负荷统计表中lmin实际放电电流为767.7A,请问蓄电池组与直流屏之间的电缆截面面积计算值为()。
选项 A.329.2mm2; B.256.8mm2; C.164.6mm2; D.128.4mm2。
答案 A
解析 根据DL/T 5044—2004附录D的相关公式。

猜你喜欢

发表评论
更多 网友评论0 条评论)
暂无评论

访问排行

Copyright © 2012-2014 恰考网 Inc. 保留所有权利。 Powered by tikuer.com

页面耗时0.0384秒, 内存占用1.03 MB, Cache:redis,访问数据库19次