某工程单元控制室采用控制和动力直流系统分设的方式,动力采用无端电池220V直流系统’蓄电池举充电压为2.25V,,该工程直流负荷统计如下(实际容量为240...

作者: rantiku 人气: - 评论: 0
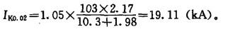
问题 某工程单元控制室采用控制和动力直流系统分设的方式,动力采用无端电池220V直流系统’蓄电池举充电压为2.25V,,该工程直流负荷统计如下(实际容量为2400Ah): (1) O~1min放电电流为767.6A; (2) 1~60min放电电流为431.5A; (3) 60~90min放电电流为417.2A; (4) 90~180min放电电流为174.2A; (5) 180~480min放电电流为116.1A。 请根据上述参数回答下列问题。 已知蓄电池组与直流屏之间的连接电缆电阻为1. 98mΩ,放电时间为0.02s时,蓄电池组内阻为10.30mn,放电时间为1.0s时,蓄电池组内阻为11.80m0,蓄电池组在直流屏端正负极短路时短路电流为()。(蓄电池短路时单体电压为2.17V) A.0.02s短竑时19.11kA,1s短路时19.11kA; B.0.02s短路时18.11kA,1s短路时16.03kA; C.0.02s短路时17.11kA; D.0.02s短路时16.11kA,1s短路时14.03k
选项 A。
答案 A
解析 根据《电力工程直流系统设计技术规程》(DL/T 5044—2004)附录G的相关公式。

猜你喜欢

发表评论
更多 网友评论0 条评论)
暂无评论

访问排行

Copyright © 2012-2014 恰考网 Inc. 保留所有权利。 Powered by tikuer.com

页面耗时0.0543秒, 内存占用1.03 MB, Cache:redis,访问数据库14次