电线上风荷载昨计算是以风速V (m/s)的基本风压=W0=V2/16(kg*f/m)=V2/16(N/m2)乘以风速在档距中不均匀的折减系数α,电线风...

作者: rantiku 人气: - 评论: 0
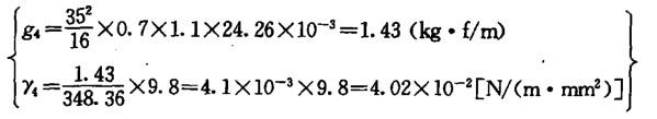
问题 电线上风荷载昨计算是以风速V (m/s)的基本风压=W0=V2/16(kg*f/m)=V2/16 (N/m2)乘以风速在档距中不均匀的折减系数α,电线风载体型系数C和受风面积(m2)。 LGJ-300/50,d=24.26mm,A=348.36mm2,V=35m/s,其γ4[N/(m*mm2)]为()。
选项 A.3.32X1O-2; B.4.02X10-2; C.4.35X10-2; D.4.53X10-2。
答案 B
解析 根据《电力工程髙压送电线路设计手册》(第二版)。 174页表3-1-14、表3-1-15,178页表3-2-3,g4=0.625V2daμxX10-3(N/m),γ4=g4/A[N/(m*mm2)]

猜你喜欢

发表评论
更多 网友评论0 条评论)
暂无评论
错误啦!

错误信息

  • 消息: [程序异常] : MISCONF Redis is configured to save RDB snapshots, but it's currently unable to persist to disk. Commands that may modify the data set are disabled, because this instance is configured to report errors during writes if RDB snapshotting fails (stop-writes-on-bgsave-error option). Please check the Redis logs for details about the RDB error.
  • 文件: /twcms/kongphp/cache/cache_redis.class.php
  • 位置: 第 85 行
    <?php echo 'KongPHP, Road to Jane.'; ?>