电线上风荷载昨计算是以风速V (m/s)的基本风压=W0=V2/16(kg*f/m)=V2/16(N/m2)乘以风速在档距中不均匀的折减系数α,电线风...

作者: rantiku 人气: - 评论: 0
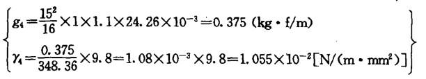
问题 电线上风荷载昨计算是以风速V (m/s)的基本风压=W0=V2/16(kg*f/m)=V2/16 (N/m2)乘以风速在档距中不均匀的折减系数α,电线风载体型系数C和受风面积(m2)。 LGJ-300/50,d=24.26mm,A=348.36mm2,但V=15m/s,其γ4[N/(m*mm2)]为()。
选项 A.0.935X10-2; B.0.995X1O-2; C.1.055X10-2; D.1.125X10-2。
答案 C
解析 根据《电力工程髙压送电线路设计手册》(第二版)。 174页表3-1-14、表3-1-15,178页表3-2-3,g4=0.625V2daμxX10-3(N/m),γ4=g4/A[N/(m*mm2)]

猜你喜欢

发表评论
更多 网友评论0 条评论)
暂无评论

访问排行

Copyright © 2012-2014 恰考网 Inc. 保留所有权利。 Powered by tikuer.com

页面耗时0.0452秒, 内存占用1.03 MB, Cache:redis,访问数据库20次