某火力发电厂新建4台300MW机组,高压厂用电压采用6kV,高压厂用工作变压器选用容量为40/25—25MVA的分裂变压器,其半穿越阻抗Zl dl-2'...

作者: rantiku 人气: - 评论: 0
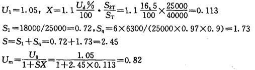
问题 某火力发电厂新建4台300MW机组,高压厂用电压采用6kV,高压厂用工作变压器选用容量为40/25—25MVA的分裂变压器,其半穿越阻抗Zl dl-2'=16.5%,单侧铜耗为160kW。厂变分裂系数为3.5。 机组电动给水泵为6300kW,给水泵启动前厂用母线已带负荷S1为l8000kVA,给水泵参数:启动电流倍数KQ=6,额定效率ηQ=0.97,额定功率因数cosφ=0.9,那么给水泵启动时母线电压标么值应为()。
选项 A.0.82; B.0.84; C.0.876; D.0.864。
答案 A
解析 解答过程: 根据《火力发电厂厂用电设计技术规定》(DL/T5153—2002)附录J,无励磁调压变压器取1.05见附录H。

猜你喜欢

发表评论
更多 网友评论0 条评论)
暂无评论

访问排行

Copyright © 2012-2014 恰考网 Inc. 保留所有权利。 Powered by tikuer.com

页面耗时0.0312秒, 内存占用1.03 MB, Cache:redis,访问数据库15次