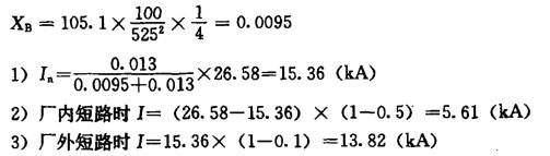
已知最大接地短路电流(500kV主母线单相接地短路):Imax=26.58kA (参数同25题),假定短路时4台主变压器中性点均接地运行,短路的等效持续时...

作者: rantiku 人气: - 评论: 0
问题 已知最大接地短路电流(500kV主母线单相接地短路):Imax=26.58kA (参数同25题),假定短路时4台主变压器中性点均接地运行,短路的等效持续时间为0.6s。Ke1、Ke2分别为厂内和厂外短路时,避雷线的工频分流系数,分别取值为0.5和0.1。 试计算入地短路电流为()。 A.10.10kA; B.13.82kA; C.10.73kA; D.11.42k
选项 A。
答案 B
解析 解答过程: 根据《电力工程电气设计手册》(1)120~121页及920页的有关公式:

猜你喜欢

发表评论
更多 网友评论0 条评论)
暂无评论
错误啦!

错误信息

  • 消息: [程序异常] : MISCONF Redis is configured to save RDB snapshots, but it's currently unable to persist to disk. Commands that may modify the data set are disabled, because this instance is configured to report errors during writes if RDB snapshotting fails (stop-writes-on-bgsave-error option). Please check the Redis logs for details about the RDB error.
  • 文件: /twcms/kongphp/cache/cache_redis.class.php
  • 位置: 第 85 行
    <?php echo 'KongPHP, Road to Jane.'; ?>