某220kV线路,双分裂LGJ—300/40导线,悬垂绝缘子串长为3.Om,计算弧垂用,k值取7.75X10-5l/m,使用的铁塔如图10所示。 ...

作者: rantiku 人气: - 评论: 0
问题 某220kV线路,双分裂LGJ—300/40导线,悬垂绝缘子串长为3.Om,计算弧垂用,k值取7.75X10-5l/m,使用的铁塔如图10所示。 若(1)题中该塔型两两相配,其最大使用档距为()m。
选项 A.925; B.1055; C.856; D.987。
答案 D
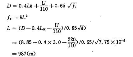
解析 解答过程: 根据DL/T5092—199910.0.1条的相关公式

猜你喜欢

发表评论
更多 网友评论0 条评论)
暂无评论

访问排行

Copyright © 2012-2014 恰考网 Inc. 保留所有权利。 Powered by tikuer.com

页面耗时0.0566秒, 内存占用1.03 MB, Cache:redis,访问数据库14次