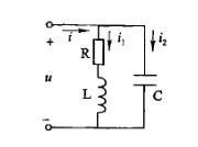
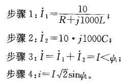
图示电路中,u=10sin(1000t+30°)V,如果使用相量法求解图示电路中的电流i,那么,如下步骤中存在错误的是: A.仅步骤1和步骤2错...

作者: tihaiku 人气: - 评论: 0
问题 图示电路中,u=10sin(1000t+30°)V,如果使用相量法求解图示电路中的电流i,那么,如下步骤中存在错误的是: A.仅步骤1和步骤2错 B.仅步骤2错 C.步骤1、步骤2和步骤4错 D.仅步骤4错
选项
答案 C
解析 提示:该电路是RLC混联的正弦交流电路,根据给定电压,将其写成复数为

相关内容:电路,1000t+30,电流,如下,步骤,错误

猜你喜欢

发表评论
更多 网友评论0 条评论)
暂无评论

Copyright © 2012-2014 恰考网 Inc. 保留所有权利。 Powered by tikuer.com

页面耗时0.0429秒, 内存占用1.05 MB, Cache:redis,访问数据库19次