某超髙压送电线路,试根据下列给定条件判断。 定位中要检查耐张绝缘子的允许荷载是否大于导线张力,设该档两悬挂点高差为80m,两点至导线最低点的弧垂为10...

作者: rantiku 人气: - 评论: 0
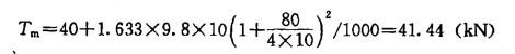
问题 某超髙压送电线路,试根据下列给定条件判断。 定位中要检查耐张绝缘子的允许荷载是否大于导线张力,设该档两悬挂点高差为80m,两点至导线最低点的弧垂为10m,导线最低点张力为40kN,导线重量为1.633kg/m,计算导线悬挂点张力为()。
选项 A.41.51kN; B.41.44kV; C.40.15kN; D.40.48kN。
答案 B
解析 分析过程:

猜你喜欢

发表评论
更多 网友评论0 条评论)
暂无评论

访问排行

Copyright © 2012-2014 恰考网 Inc. 保留所有权利。 Powered by tikuer.com

页面耗时0.0376秒, 内存占用1.03 MB, Cache:redis,访问数据库20次