在忽略线路的电阻损失后,送电线路的波阻抗及自然功率是判断线路输电能力的重要参数。当线路输送自然功率时,沿全线的电压、电流数值均保持不变,线路产生的无功和消...

作者: rantiku 人气: - 评论: 0
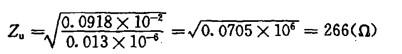
问题 在忽略线路的电阻损失后,送电线路的波阻抗及自然功率是判断线路输电能力的重要参数。当线路输送自然功率时,沿全线的电压、电流数值均保持不变,线路产生的无功和消耗的无功相抵消。线路输送功率大于自然功率时,送端电压高于受端电压。线路无功损耗由系统供给。下面请计算: 某500kV单回送电线路,导线4X LGJ—400/50,其单位长度正序电感0.0918X1O-2H/km,正序电容0.013X10-6F/km,线路波阻抗为()Ω。
选项 A.255; B.266; C.285; D.300。
答案 B
解析 解答过程:根据《电力工程髙压送电线路设计手册》(第二版)24页式(2-1-41)

猜你喜欢

发表评论
更多 网友评论0 条评论)
暂无评论

访问排行

Copyright © 2012-2014 恰考网 Inc. 保留所有权利。 Powered by tikuer.com

页面耗时0.0307秒, 内存占用1.03 MB, Cache:redis,访问数据库19次