在忽略线路的电阻损失后,送电线路的波阻抗及自然功率是判断线路输电能力的重要参数。当线路输送自然功率时,沿全线的电压、电流数值均保持不变,线路产生的无功和消...

作者: rantiku 人气: - 评论: 0
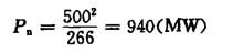
问题 在忽略线路的电阻损失后,送电线路的波阻抗及自然功率是判断线路输电能力的重要参数。当线路输送自然功率时,沿全线的电压、电流数值均保持不变,线路产生的无功和消耗的无功相抵消。线路输送功率大于自然功率时,送端电压高于受端电压。线路无功损耗由系统供给。下面请计算: 同(3)题参数,该线路自然输送功率为()MW。
选项 A.810; B.850; C.900; D.940。
答案 D
解析 解答过程:根据《电力工程髙压送电线路设计手册》(第二版)24页式(2-1-42)

猜你喜欢

发表评论
更多 网友评论0 条评论)
暂无评论
错误啦!

错误信息

  • 消息: [程序异常] : MISCONF Redis is configured to save RDB snapshots, but it's currently unable to persist to disk. Commands that may modify the data set are disabled, because this instance is configured to report errors during writes if RDB snapshotting fails (stop-writes-on-bgsave-error option). Please check the Redis logs for details about the RDB error.
  • 文件: /twcms/kongphp/cache/cache_redis.class.php
  • 位置: 第 85 行
    <?php echo 'KongPHP, Road to Jane.'; ?>