某500kV变电站的主变压器型式为:三相油浸自耦变压器,无载调压,冷却方式为强油风冷。主要技术参数为:电流互感器额定二次电流:三侧均为1A。按...

作者: rantiku 人气: - 评论: 0
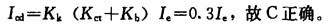
问题 某500kV变电站的主变压器型式为:三相油浸自耦变压器,无载调压,冷却方式为强油风冷。主要技术参数为: 电流互感器额定二次电流:三侧均为1A。 按双重化配置微机型变压器保护。 假定:Ie为变压器高压侧二次额定电流,Kk为可靠系数(取1.5), Kct为电流互感器变比误差系数(取0.1),Kb为变压器调压误差系数(取0.1)。则该主变压器差动保护 动作电流定值Icd=()。
选项 A.0.1Ie; B.O.2Ie; C.O.3Ie; D.0.4Ie。
答案 C
解析 解答过程: 根据DL/T684-19905.1.3.3款中a),1)“纵差保护最小动作电流的整定”:

猜你喜欢

发表评论
更多 网友评论0 条评论)
暂无评论

访问排行

Copyright © 2012-2014 恰考网 Inc. 保留所有权利。 Powered by tikuer.com

页面耗时0.0613秒, 内存占用1.03 MB, Cache:redis,访问数据库20次