某220kV变电所,总占地面积为12000m2(其中接地网的面积为10000m2),220kV为有效接地系统,土壤电阻率为100Ω﹒m,接地短路电流为10...

作者: rantiku 人气: - 评论: 0
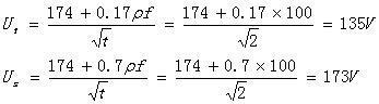
问题 某220kV变电所,总占地面积为12000m2(其中接地网的面积为10000m2),220kV为有效接地系统,土壤电阻率为100Ω﹒m,接地短路电流为10kA,接地故障电流持续时间为2s,工程中采用钢接地线作为全所主接地网及电气设备的接地(钢材的热稳定系数取70)。试根据上述条件计算下列各题:
选项 220kV系统发生单相接地时,其接地装置的接触点位差和跨步点位差不应超过下列哪组数据: A 55V、70V B 110V、140V C 135V、173V D 191V、244V
答案 C
解析 根据《交流电气装置的接地 DL/T 621-1997》第3.4条、a)款:110kV及以上有效接地系统和6~35kV低电阻接地系统发生单相接地或同点两相接地时,发电厂、变电所接地装置的接触电位差和跨步电位差不应超过下列数值:

猜你喜欢

发表评论
更多 网友评论0 条评论)
暂无评论

访问排行

Copyright © 2012-2014 恰考网 Inc. 保留所有权利。 Powered by tikuer.com

页面耗时0.0463秒, 内存占用1.03 MB, Cache:redis,访问数据库20次