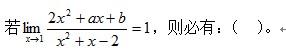
(A)a=-1,b=2 (B)a=-1,b=-2 (C) a=-1,b=-1(D)a=1,b=1

作者: rantiku 人气: - 评论: 0
问题 (A)a=-1,b=2 (B)a=-1,b=-2 (C) a=-1,b=-1(D)a=1,b=1
选项
答案 C
解析 解题过程:由题意可知,该极限为0/0型。当x=1时,2x2+ax+b,可得a+b=-2,由于考试时间有限,可采用验算法进行判断。将四个选项的 a与b代入a+b=-2,可得出选项(C)符合题意。

猜你喜欢

发表评论
更多 网友评论0 条评论)
暂无评论

Copyright © 2012-2014 恰考网 Inc. 保留所有权利。 Powered by tikuer.com

页面耗时0.0609秒, 内存占用1.01 MB, Cache:redis,访问数据库20次