在信号源(us,Rs)和电阻队之间接入一个理想变压器,如图所示,若us= 80sintV, RL=10Ω,且此时信号源输出功率最大,那么,变压器的输出电压...

作者: rantiku 人气: - 评论: 0
问题 在信号源(us,Rs)和电阻队之间接入一个理想变压器,如图所示,若us= 80sintV, RL=10Ω,且此时信号源输出功率最大,那么,变压器的输出电压u2等于:
选项 A. 40sinwtV B. 20sinwtV C. 80sinwtV D. 20V
答案 A
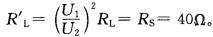
解析 解信号源输出最大功率的条件是电源内阻与负载电阻相等,电路中的实际负载电阻折合到变压器的原边数值为

猜你喜欢

发表评论
更多 网友评论0 条评论)
暂无评论

Copyright © 2012-2014 恰考网 Inc. 保留所有权利。 Powered by tikuer.com

页面耗时0.0417秒, 内存占用1.03 MB, Cache:redis,访问数据库20次