设代表气体分子运动的平均速率,Vp代表气体分子运动的最概然速率,代表气体分子运动的方均根速率,处于平衡态下的某种理想气体,其三种速率关系为()。

作者: rantiku 人气: - 评论: 0
问题代表气体分子运动的平均速率,Vp代表气体分子运动的最概然速率,代表气体分子运动的方均根速率,处于平衡态下的某种理想气体,其三种速率关系为()。
选项
答案 C
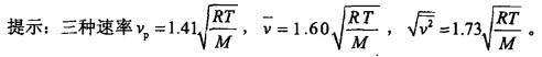
解析

猜你喜欢

发表评论
更多 网友评论0 条评论)
暂无评论

Copyright © 2012-2014 恰考网 Inc. 保留所有权利。 Powered by tikuer.com

页面耗时0.0556秒, 内存占用1.03 MB, Cache:redis,访问数据库19次