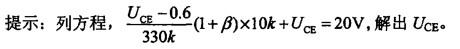
某放大电路如图7-53所示,已知三极管电流放大系数β=50,UBE=0.6V,静态时UCE等于()V。A.10.2B.7.6C.6.8D.8.3

作者: rantiku 人气: - 评论: 0
问题 某放大电路如图7-53所示,已知三极管电流放大系数β=50,UBE=0.6V,静态时UCE等于()V。
选项 A.10.2 B.7.6 C.6.8 D.8.3
答案 D
解析 正确答案是D。

猜你喜欢

发表评论
更多 网友评论0 条评论)
暂无评论

Copyright © 2012-2014 恰考网 Inc. 保留所有权利。 Powered by tikuer.com

页面耗时0.0425秒, 内存占用1.03 MB, Cache:redis,访问数据库20次