已知λ= 2是三阶矩A的一个特征值,α1、α2是A的属于λ= 2的特征向量。 若α1=(1,2,0)T,α2=(1,0,1)T,向量β= (-1,2,-2...

作者: rantiku 人气: - 评论: 0
问题 已知λ= 2是三阶矩A的一个特征值,α1、α2是A的属于λ= 2的特征向量。 若α1=(1,2,0)T,α2=(1,0,1)T,向量β= (-1,2,-2)T,则Aβ等于( )。
选项 A. (2,2,1)T B. (-1,2,-2)T C. (-2,4,-4)T D. (-2,-4,4)
答案 C
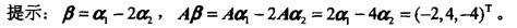
解析

猜你喜欢

发表评论
更多 网友评论0 条评论)
暂无评论

Copyright © 2012-2014 恰考网 Inc. 保留所有权利。 Powered by tikuer.com

页面耗时0.0296秒, 内存占用1.01 MB, Cache:redis,访问数据库18次