如图7-10所示电路ab端口的等效电路为()。A.70V与2.9Ω串联B.-70V与2.93Ω串联C.10V与2.9Ω串联D.-70V与2...

作者: rantiku 人气: - 评论: 0
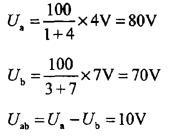
问题 如图7-10所示电路ab端口的等效电路为()。
选项 A.70V与2.9Ω串联 B.-70V与2.93Ω串联 C.10V与2.9Ω串联 D.-70V与2.9Ω串联
答案 C
解析 正确答案是C。 提示:(1)开路电压:设电压源负端电位为0,则 (2)等效内阻:

猜你喜欢

发表评论
更多 网友评论0 条评论)
暂无评论

Copyright © 2012-2014 恰考网 Inc. 保留所有权利。 Powered by tikuer.com

页面耗时0.0658秒, 内存占用1.03 MB, Cache:redis,访问数据库19次