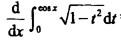
等于()。A. sinxB. sinxC. -sin2xD. -sinx sinx

作者: rantiku 人气: - 评论: 0
问题 等于()。
选项 A. sinx B. sinx C. -sin2x D. -sinx sinx
答案 D
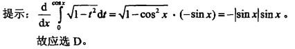
解析

猜你喜欢

发表评论
更多 网友评论0 条评论)
暂无评论

Copyright © 2012-2014 恰考网 Inc. 保留所有权利。 Powered by tikuer.com

页面耗时0.0426秒, 内存占用1.01 MB, Cache:redis,访问数据库19次