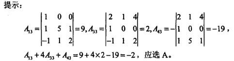
设行列式,Aij表示行列式元素aij的代数余子式,则A13+4A33+A43等于( )。A. -2B. 2C. -1D. 1

作者: rantiku 人气: - 评论: 0
问题 设行列式,Aij表示行列式元素aij的代数余子式,则A13+4A33+A43等于( )。
选项 A. -2 B. 2 C. -1 D. 1
答案 A
解析

猜你喜欢

发表评论
更多 网友评论0 条评论)
暂无评论

Copyright © 2012-2014 恰考网 Inc. 保留所有权利。 Powered by tikuer.com

页面耗时0.0395秒, 内存占用1.01 MB, Cache:redis,访问数据库19次