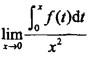
若f(x)为可导函数,且已知f(0) = 0,f'(0) = 2,则的值为()。A. 0B. 1C. 2D.不存在

作者: rantiku 人气: - 评论: 0
问题 若f(x)为可导函数,且已知f(0) = 0,f'(0) = 2,则的值为()。
选项 A. 0 B. 1 C. 2 D.不存在
答案 B
解析 提示:利用积分上限函数求导和洛必达法则。

猜你喜欢

发表评论
更多 网友评论0 条评论)
暂无评论

Copyright © 2012-2014 恰考网 Inc. 保留所有权利。 Powered by tikuer.com

页面耗时0.0396秒, 内存占用1.01 MB, Cache:redis,访问数据库20次