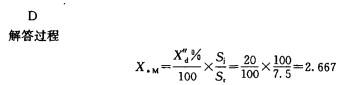
A. 0. 20;B. 3.33;C. 0. 267;D. 2. 667.

作者: rantiku 人气: - 评论: 0
问题
选项 A. 0. 20; B. 3.33; C. 0. 267; D. 2. 667.
答案 D
解析

猜你喜欢

发表评论
更多 网友评论0 条评论)
暂无评论

访问排行

Copyright © 2012-2014 恰考网 Inc. 保留所有权利。 Powered by tikuer.com

页面耗时0.0501秒, 内存占用1.03 MB, Cache:redis,访问数据库19次