一座110kV中心变电所,装有容量为31500kV*A主变压器两台,控制、信号等经常负荷为2000W,事故照明负荷为3000W,最大一台断路器合闸电流为5...

作者: rantiku 人气: - 评论: 0
问题 一座110kV中心变电所,装有容量为31500kV*A主变压器两台,控制、信号等经常负荷为2000W,事故照明负荷为3000W,最大一台断路器合闸电流为54
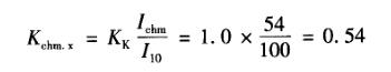
选项 A。请回答下列问题。 若选择一组蓄电池容量为100A*h的220V铅酸蓄电池作为直流电源,计算事故放电末期放电率,选择下列哪一项数值是正确的? ( ) (A)0.09 (B)0.136 (C)0.23 (D)0.54
答案 D
解析 《电力工程直流系统设计技术规程》(DL/T 5044-2004)附录B. 2. 1. 3 式(B.5)。 注:此处可靠系徽取1,否则无答案此题不严谨。

猜你喜欢

发表评论
更多 网友评论0 条评论)
暂无评论

访问排行

Copyright © 2012-2014 恰考网 Inc. 保留所有权利。 Powered by tikuer.com

页面耗时0.0399秒, 内存占用1.03 MB, Cache:redis,访问数据库19次