某县在城网改造中需将环城的18km 110kV架空导线换为单芯交联聚 氯乙烯铝芯电缆,采用隧道内敷设。架空线输送容量为100MV.A,短路电流为31.5k...

作者: rantiku 人气: - 评论: 0
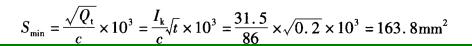
问题 某县在城网改造中需将环城的18km 110kV架空导线换为单芯交联聚 氯乙烯铝芯电缆,采用隧道内敷设。架空线输送容量为100MV.A,短路电流为31.5kA,短路电流持续时间为0.2s,单芯交联聚氯乙烯铝芯电缆在空气中一字形敷设时的载流量及电缆的其他参数见下表。 假设电缆的热稳定系数为86,按短路热稳定条件,计算本工程电缆允许的最小截面最接近下列哪一项数值? ( ) (A) 173 mm2 ( B) 164 mm2 (C) 156mm2 ( D) 141mm2
选项
答案 B
解析 《工业与民用配电设计手册》(第三版)P211式(5-26)。

猜你喜欢

发表评论
更多 网友评论0 条评论)
暂无评论

访问排行

Copyright © 2012-2014 恰考网 Inc. 保留所有权利。 Powered by tikuer.com

页面耗时0.0499秒, 内存占用1.03 MB, Cache:redis,访问数据库20次